34+ Integral Test Calculator


Mil Hdbk 781a Pdf Pdf Reliability Engineering Confidence Interval


What Is Math Lim X To Infty Frac Log X 6 500 Log X 6 500 Math Quora


Pdf Valor Diagnostico De Los Parametros Mas Alla Del St En La Interpretacion De La Prueba De Esfuerzo


Numerical Integration By Using Calculator Casio Youtube


Integral Test For Convergence Or Divergence Krista King Math Online Math Help


Solved 18 0 11 Points Details Scalcet9 11 10 068 0 100 Course Hero


Top 9 Best Currency Converter Apis 2021 33 Reviewed


Results For Ti 84 Plus Calculator Tpt


The 44th Annual Meeting Of The European Society For Blood And Marrow Transplantation Physicians Poster Sessions Bone Marrow Transplantation


Get Answer Calculate The Value Of The Following Annuity Due Without A Table Transtutors


Amazon Com Texas Instruments Ti 34 Multiview Scientific Calculator Scientific Calculators Office Products


Neet Ug 2023 May 7 Exam Date Registration Application Form Eligibility Preparation


Integral Calculator


Steel Structures Behavior And Lrfd Ramulu Vinnakota Pdf


Guide To The Ap Calculus Ab Exam The Princeton Review


Formation Of Gaseous Peptide Ions From Electrospray Droplets Competition Between The Ion Evaporation Mechanism And Charged Residue Mechanism Analytical Chemistry


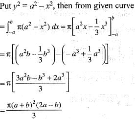
The Segment O F The Circle X2 Y2 A2 Cut Off By The Chord X B 0 Lt B Lt A Revolves About The X Axis And Generates The Solid Known


Improper Integral Calculator Convergent Divergent Integrals

Iklan Atas Artikel

Iklan Tengah Artikel 1

Iklan Tengah Artikel 2

Iklan Bawah Artikel